• Предмет: Математика
  • Автор: sonewka17
  • Вопрос задан 8 лет назад

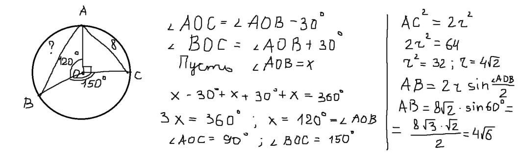
О-центр окружности. ОА, ОВ и ОС - радиусы. ∠АОВ на 30° больше ∠АОС, а ∠ВОС на 30° больше ∠АОВ. Причем сумма всех трех углов равна 360°. Найдите хорду АВ, если АС=8 см.

Ответы

Ответ дал: lenaandreevala
2

Ответ: 4\sqrt{6}, решение ниже.

Надеюсь, нигде не ошиблась.

Приложения:
Вас заинтересует