• Предмет: Алгебра
  • Автор: Аноним
  • Вопрос задан 8 лет назад

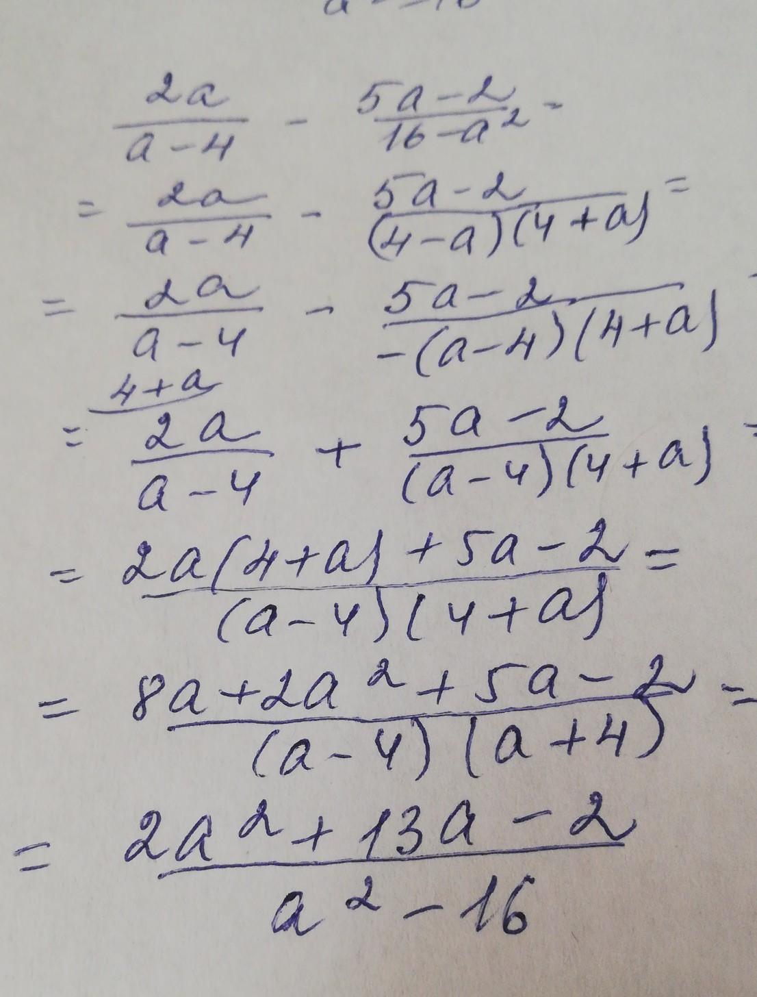
2а/а-4-5а-2/16-а2
Помогите прошу​

Приложения:

Ответы

Ответ дал: Аноним
8

Объяснение:

/////////////////////

Приложения:

Аноним: Спасибо,добрый человек.Да благословит твой путин великий и вкусный Макаронный монстр
Аноним: ..
Аноним: не за что:)
Аноним: почему то там поставился путин вместо путь
Ответ дал: serovaksusa1
1

Ответ:

Смотри решение на фото

Приложения:
Вас заинтересует