Ответы
Ответ дал:
0
Ответ:
6)...=(-4m^2-m+3)/(3m^2+3m-m-1)=(-m(4m-3)-(4m-3)/((m+1)(3m-1)=(-(4m-3))/(3m-1)=(3-4m)/(3m-1)
7)без понятия тут не помогу
8) уравнение не равны
(корень(ab))/(корень(a)+корень(b))≠(а*корень(b)-b*корень(а)/(a-b)
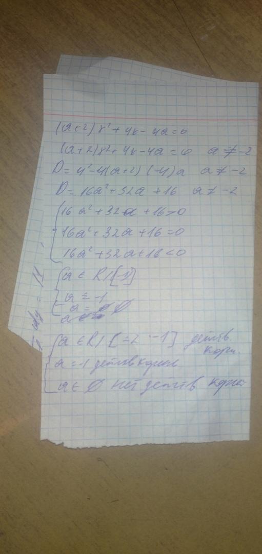
9)закреплю фото
Объяснение:
Приложения:

Аноним:
ужасно...
Вас заинтересует
2 года назад
2 года назад
3 года назад
8 лет назад
8 лет назад