• Предмет: Математика
  • Автор: deplomat30
  • Вопрос задан 8 лет назад

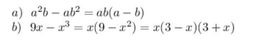
разложите на множитили:​

Приложения:

Ответы

Ответ дал: AdebdeXiao
0

Ответ:

Ответ на фото

Пошаговое объяснение:

Можно лучший ответ?

Приложения:
Вас заинтересует