• Предмет: Алгебра
  • Автор: angelo4ik99
  • Вопрос задан 8 лет назад

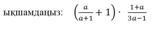
Помагите пожалуйста!!!3​​

Приложения:

Ответы

Ответ дал: maks0067
0
вот держи твой ответ
Приложения:
Вас заинтересует