• Предмет: Математика
  • Автор: madarayusupov
  • Вопрос задан 8 лет назад

Help pleas o4en nado

Приложения:

Ответы

Ответ дал: dnepr1
0

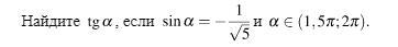
Заданный промежуток - это 4-я четверть, тангенс там отрицательный.

Применим формулу:

tg a = sin a/(√(1 - sin²a)) = (-1/√5)/(√(1 - (1/5))) = -1/2.

Вас заинтересует