• Предмет: Математика
  • Автор: trushkinaekaterina30
  • Вопрос задан 8 лет назад

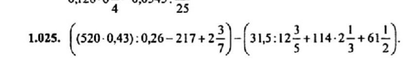
пожалуйста помогите!! (надо решить по действиям) дам 35 балов СРОЧНО!!​

Приложения:

Ответы

Ответ дал: tatsach
2

Ответ:

Пошаговое объяснение:

520*0,43=223,6

223,6:0,26=860

860-217=643

643+2 3/7=645 2/7

31,5:12 3/5=31,5:12,6=2,5

114*2 1/3=114*7/3=266

2,5+266=268,5

268,5+61 1/2=268,5+61,5=330

645 2/7-330=315 2/7


trushkinaekaterina30: Спасибо огромное!!!!!!
tatsach: Пожалуйста
Ответ дал: ys1956
0

Ответ:

520*0,43=223,6;

223,6:0,26=860;

860-217=643;

643+2 3/7=645 3/7;

31 5/10:12 3/5=2 1/2;

114*2 1/3=266;

2 1/2+266=268 1/2;

268 1/2+61 1/2=330;

645 3/7-330=315 3/7.

Вас заинтересует