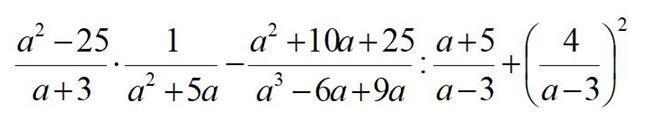
1) Упростите выражение:
2) Укажи правильный порядок решения.
Количество соединений: 6.
Умоляю помогите дам 25 баллов!!! ПОЖАЛУЙСТА
Приложения:


solovevmaksim853:
ты сделал?
Ответы
Ответ дал:
1
это правильно это СОЧ ПО АЛГЕБРЕ
Приложения:

Вас заинтересует
2 года назад
2 года назад
3 года назад
3 года назад
8 лет назад
8 лет назад
9 лет назад
9 лет назад