• Предмет: Алгебра
  • Автор: sarybaevamahabat240
  • Вопрос задан 8 лет назад

решите систему уравнений методом подстановки способом сложения (без разницы какое)​

Приложения:

Ответы

Ответ дал: Пеппер
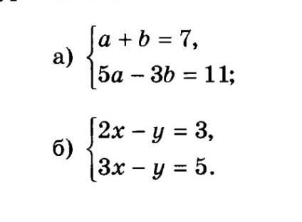
1

a+b=7

5a-3b=11

a=7-b

5(7-b)-3b=11

a=7-b

35-5b-3b=11

a=7-b

-8b=-24;  b=3

a=4

b=3

Ответ: (4; 3)

2х-у=3

3х-у=5 (умножим на -1)

2х-у=3

-3х+у=-5

-х  =   -2;             х=2

2*2-у=3;  4-у=3;  у=1

Ответ: (2; 1)


Аноним: ПЕППЕР помогитееее пожайлуста
Ответ дал: NNNLLL54
0

Ответ:

\left\{\begin{array}{l}a+b=7\\5a-3b=11\end{array}\right\ \ \left\{\begin{array}{l}a=7-b\\5\, (7-b)-3b=11\end{array}\right\ \ \left\{\begin{array}{l}a=7-b\\35-5b-3b=11\end{array}\right\\\\\\\left\{\begin{array}{l}a=7-b\\-8b=-24\end{array}\right\ \ \left\{\begin{array}{l}a=7-3\\b=3\end{array}\right\ \ \left\{\begin{array}{l}a=4\\b=3\end{array}\right\ \ \ \ Otvet:\ (4;3)\ .

2)\ \left\{\begin{array}{l}2x-y=3\\3x-y=5\end{array}\right\ \ \left\{\begin{array}{l}y=2x-3\\3x-(2x-3)=5\end{array}\right\ \ \left\{\begin{array}{l}y=2x-3\\x+3=5\end{array}\right\ \ \left\{\begin{array}{l}y=1\\x=2\end{array}\right\\\\\\Otvet:\ (2;1)\ .


Аноним: NNNLLL54 пожайлуста спасите
NNNLLL54: нет
Вас заинтересует