• Предмет: Алгебра
  • Автор: altynzersatybaldykyz
  • Вопрос задан 8 лет назад

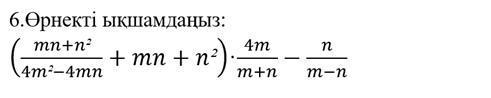
6 орнекти ыкшамданыз.

Приложения:

Ответы

Ответ дал: NNNLLL54
3

Ответ:

\Big(\dfrac{mn+n^2}{4m^2-4mn}+mn+n^2\Big)\cdot \dfrac{4m}{m+n}-\dfrac{n}{m-n}=\\\\\\=\Big(\dfrac{n(m+n)}{4m(m-n)}+n(m+n)\Big)\cdot \dfrac{4m}{m+n}-\dfrac{n}{m-n}=

=n(m+n)\cdot \Big(\dfrac{1}{4m(m-n)}+1\Big)\cdot \dfrac{4m}{m+n}-\dfrac{n}{m-n}=\\\\\\=n(m+n)\cdot \dfrac{1+4m(m-n)}{4m(m-n)}\cdot \dfrac{4m}{m+n}-\dfrac{n}{m-n}=\\\\\\=\dfrac{n\cdot (1+4m^2-4mn)}{m-n}-\dfrac{n}{m-n}=\dfrac{n+4nm^2-4mn^2-n}{m-n}=\\\\\\=\dfrac{4mn(m-n)}{m-n}=4mn


Аноним: Здравствуйте вы не могли бы вы мне помочь по алгебре пожалуйстасрочно помогите пожалуйста​
https://znanija.com/task/44820734?utm_source=android&utm_medium=share&utm_campaign=question
Вас заинтересует