• Предмет: Алгебра
  • Автор: igorneimiller2
  • Вопрос задан 8 лет назад

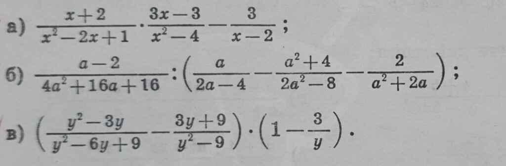
помогите срочно очень срочно 80 балов

Приложения:

Ответы

Ответ дал: 5558856
0

Ответ:

Объяснение:

а)-3/x-1

b)a/4a+8

в)у-3/у

Вас заинтересует