• Предмет: Алгебра
  • Автор: aruzhansulu
  • Вопрос задан 8 лет назад

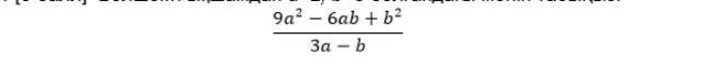
Упростите дробь и найдите ее значение при a=2, b=3.​

Приложения:

Ответы

Ответ дал: olenkademkovych
1

Відповідь:

3

Пояснення:

\frac{9a^{2}-6ab+b^{2}  }{3a-b}

\frac{9*2^{2}-6*2*3+3^{2}  }{3*2-3}

\frac{9*4-36+9}{6-3}

\frac{36-36+9}{3}

\frac{9}{3} = 3

Вас заинтересует