Ответы
Ответ дал:
1
Ответ:
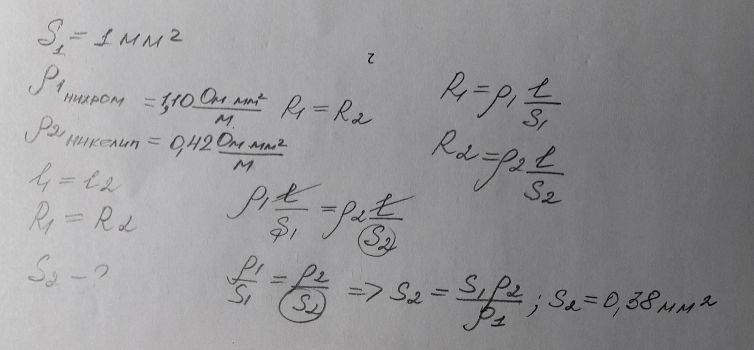
Площадь поперечного сечения S₂=0,38 мм² провода из никелина должна быть в 2,6 раза меньше ППС S₁=1мм² провода из нихрома
чтобы сопротивление нагревателя не изменилось.
Объяснение:
R=ρʟ/S => S=ρʟ/R;
ρ₁=110*10⁻⁸ Ом*м - нихром;
ρ₂=42*10⁻⁸ Ом*м - никелин;
ʟ₁=ʟ₂;
R₁=R₂.
---
S₁/S₂=ρ₁/ρ₂=110*10⁻⁸/42*10⁻⁸=2,619...≈2,6 раза;
S₂=S₁/2,6=1/2,6=0,384...≈0,38 мм².
Приложения:

Ответ дал:
1
Ответ:
См.фото
Объяснение:
Приложения:

Вас заинтересует
2 года назад
2 года назад
3 года назад
3 года назад
8 лет назад
9 лет назад
9 лет назад