• Предмет: Алгебра
  • Автор: nizamidinovaliya
  • Вопрос задан 8 лет назад

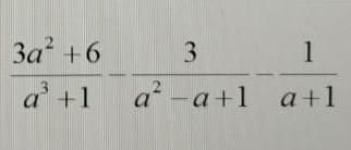
найдите значение выражения ​

Приложения:

Ответы

Ответ дал: alarionov267
1

Ответ:

..................

Объяснение:

,........

Приложения:
Вас заинтересует