• Предмет: Алгебра
  • Автор: gulzada31
  • Вопрос задан 8 лет назад

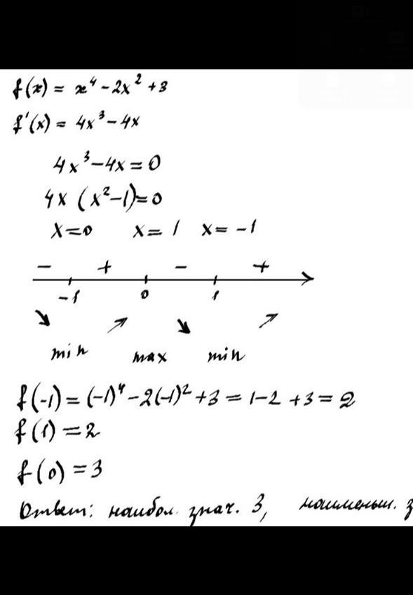
Найдите наибольшее и наименьшее значение функции y=x/2x^2-1 на отрезке[-4;-2]

Ответы

Ответ дал: avamuslimovaaisha2
0

Ответ на картинке желаю удачи этот

Приложения:

gulzada31: Спасибо большое!
avamuslimovaaisha2: Всегда пожалуйста!
gulzada31: Это же другое
avamuslimovaaisha2: ок
avamuslimovaaisha2: щас
gulzada31: Мне же нужно f(x)=x/2x^2-1
gulzada31: Есть ответ именно на эту функцию?
Вас заинтересует