• Предмет: Алгебра
  • Автор: Аноним
  • Вопрос задан 8 лет назад

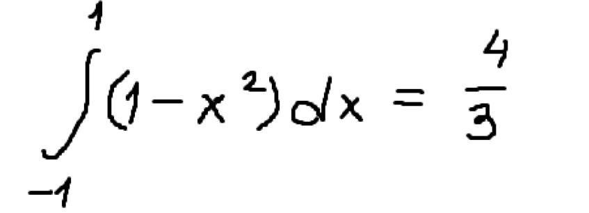
Вычислить площадь фигуры, ограниченной кривыми

Приложения:

Ответы

Ответ дал: lenaandreevala
0

\int\limits^a_b {(f(x)-g(x))} \, dx

Приложения:
Вас заинтересует