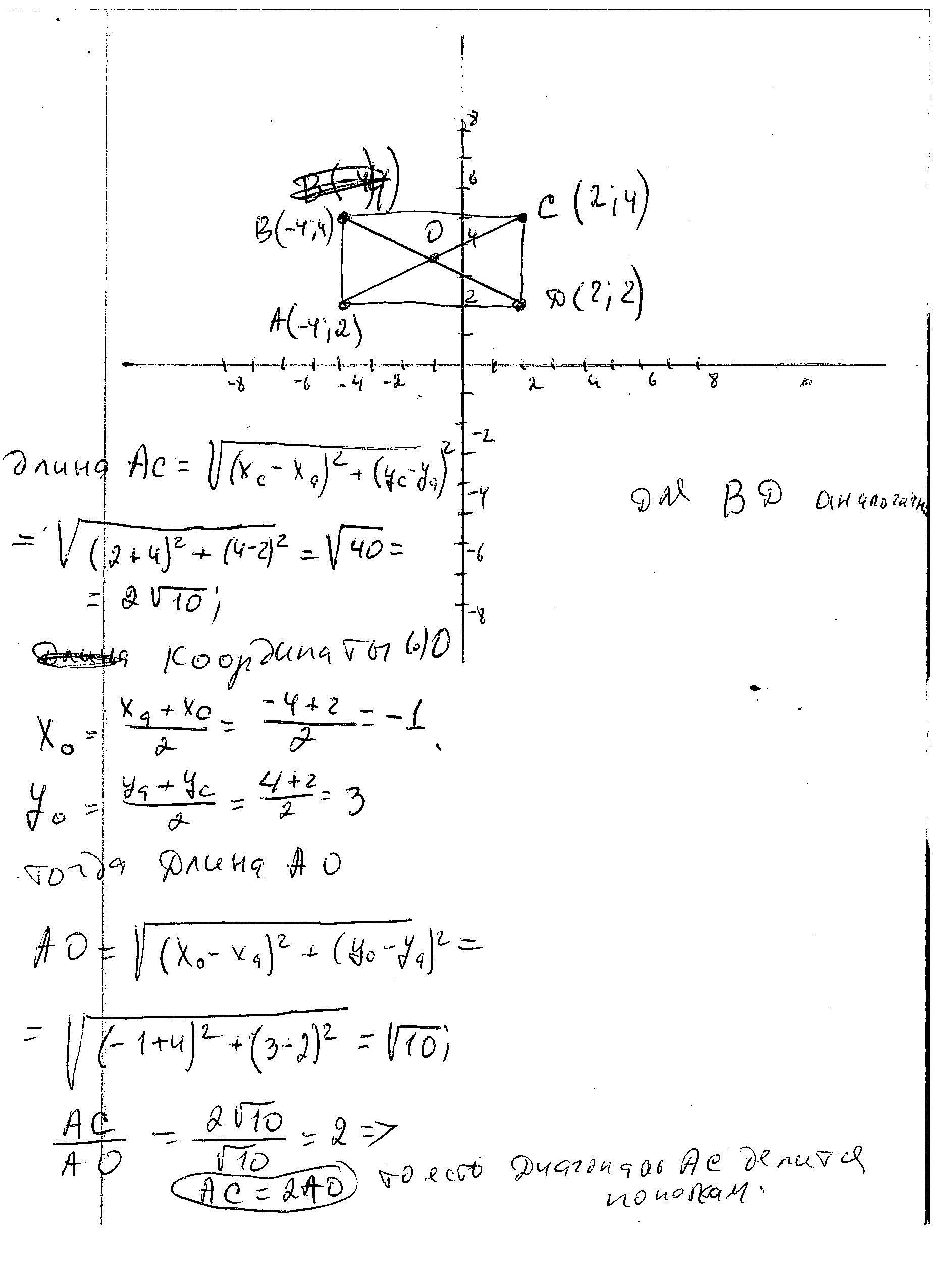
побудуйте в системі координат. прямокутник . знайдіть координати вершин прямокутника. доведіть що його діагоналі рівні і в точці перетину діляться навпіл.
Даю 80 баллов
Ответы
Ответ дал:
1
Ответ:
Объяснение:
во вложенном файле
Приложения:

Вас заинтересует
2 года назад
3 года назад
8 лет назад
8 лет назад
9 лет назад