• Предмет: Алгебра
  • Автор: dashulkamidonova
  • Вопрос задан 11 лет назад

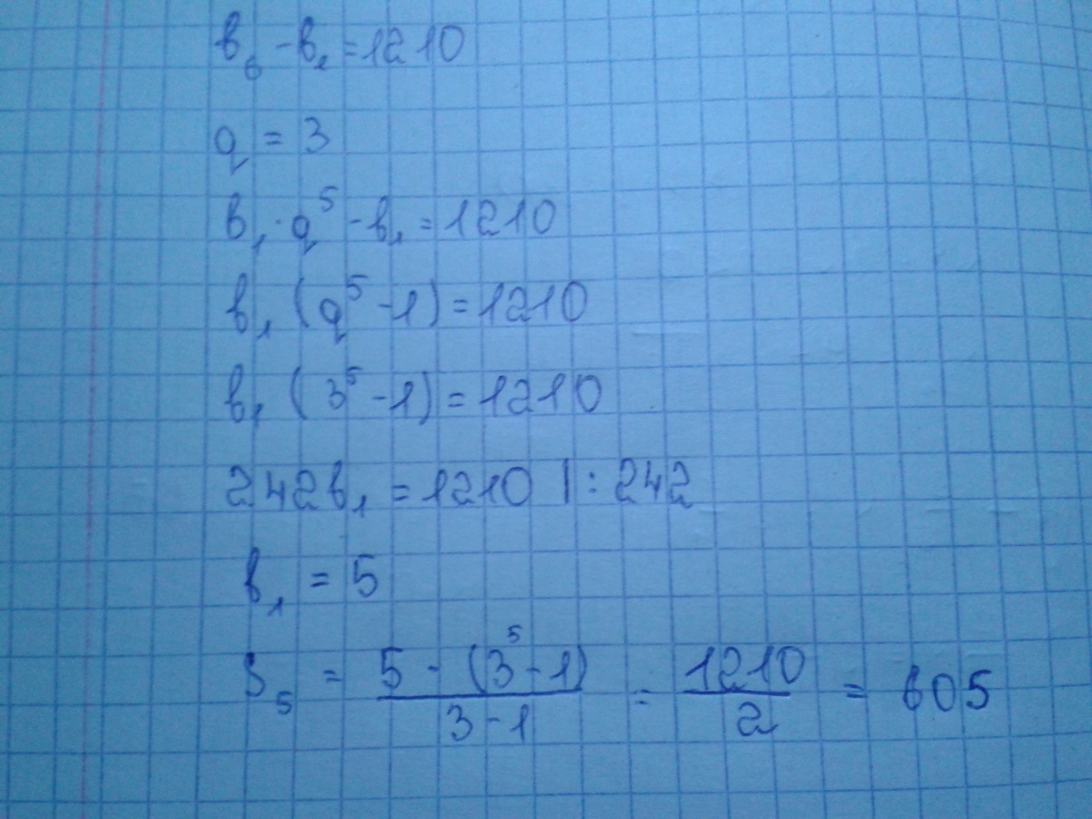
разность между шестым и первым членом геометрической прогрессии равна 1210 и знаменатель этой прогрессии равен 3 .Найдите сумму первых пяти членов этой прогрессии

Ответы

Ответ дал: Марина165
0
Ответ смотри во вложении, вроде бы так должно быть
Приложения:
Вас заинтересует