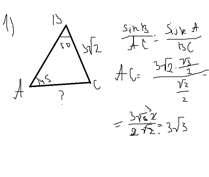
1) Найдите сторону AC треугольника ABC в котором угол A=45 угол B=60 BC=3√2.Решение по Теореме Синуса
2) Найдите сторону AC треугольника ABC в котором угол B=120 AB=8 см BC=7 смРешается по Теореме Косинуса
3) Определите вид треугольника если его точки имеют следующие координаты A(3;9) B(0;6) C(4;2)
Ответы
Ответ дал:
0
не задудь поблагодарить)))))))))))))
Приложения:

Вас заинтересует
2 года назад
2 года назад
8 лет назад
8 лет назад
10 лет назад
10 лет назад
10 лет назад