• Предмет: Алгебра
  • Автор: alinamakulova602
  • Вопрос задан 8 лет назад

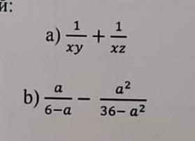
выполните сложение и вычитание дробей:​

Приложения:

Ответы

Ответ дал: Polina14ry
0

Ответ:

Сразу извеняюсь за почерк, но надеюсь понятно

Приложения:
Вас заинтересует