• Предмет: Алгебра
  • Автор: vanyaserge2006
  • Вопрос задан 8 лет назад

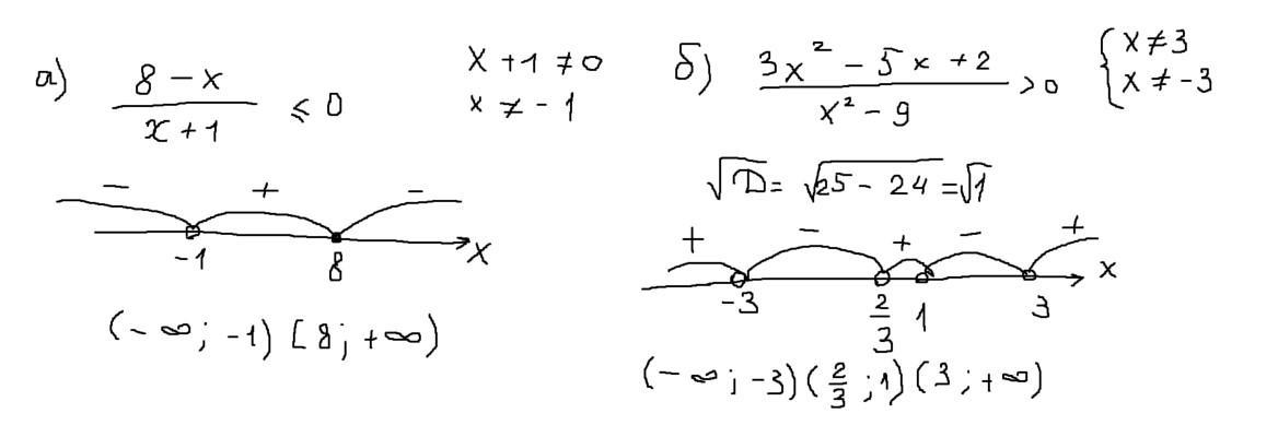
Решить рациональные неравенства

Приложения:

Ответы

Ответ дал: lenaandreevala
1

Ответ: на картинке. Допиши ещё перед дискриминантом "Найдём корни квадратного трёхчлена"

Приложения:

vanyaserge2006: А почему у тебя вместо Х+11 написано х+1, в а)?
Вас заинтересует