• Предмет: Математика
  • Автор: slavazenin7
  • Вопрос задан 8 лет назад

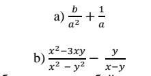
Выполни сложение и вычитание дробей: b/a²+1/a
x²-3xy/x²-y²-y/x-y​

Приложения:

Ответы

Ответ дал: Yura2829
3

Ответ:

a) b+a/a²

d) x²-4xy+3y²-x²y²/x²y²-xy³

Вас заинтересует