• Предмет: Алгебра
  • Автор: ysophaaa
  • Вопрос задан 8 лет назад

ДАЮ 15 БАЛЛОВ, ПОМОГИТЕ!!
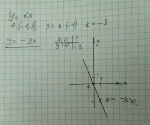
Найдите k и запишите формулу прямой пропорциональности

Приложения:

Ответы

Ответ дал: ksjula
1

Ответ:

y=-2x

Объяснение:


ysophaaa: Спасибо вам огромное!!
ysophaaa: можно ещё формулу сделать?
OVERLOR41: Какой класс?
ysophaaa: шестой
Ответ дал: OVERLOR41
3

Ответ:

у=-2x.

Объяснение:

Вроде так.

Приложения:

ysophaaa: Спасибо вам огромное!!
ysophaaa: Спасибо ещё за формулу!!!!
Вас заинтересует