• Предмет: Алгебра
  • Автор: madinahan0123
  • Вопрос задан 8 лет назад


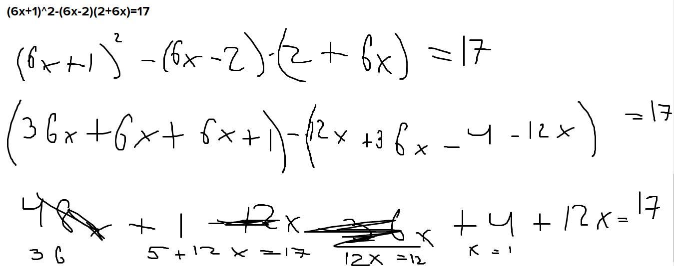
5) Решите уравнение: (6x+1)^2-(6x-2)(2+6x)=17 пожалуйста

Ответы

Ответ дал: jaasasasslasla
1

Ответ:

1, сначала раскрываешь левую скобку с квадратом потом 2 правые скобки, записываешь все вместе но то что было в квадрате в 1 скобку, а то что было справа в другую, между ними знак -, меняешь все знаки на противоположные в правой скобки убирая сами скобки и все там конец

Приложения:

madinahan0123: В)с-с^2/с+1 (упростите выражение) можешь это решить?
jaasasasslasla: ответ c^2
madinahan0123: Спасибо,большое
Вас заинтересует