Ответы
Ответ дал:
3
Ответ:
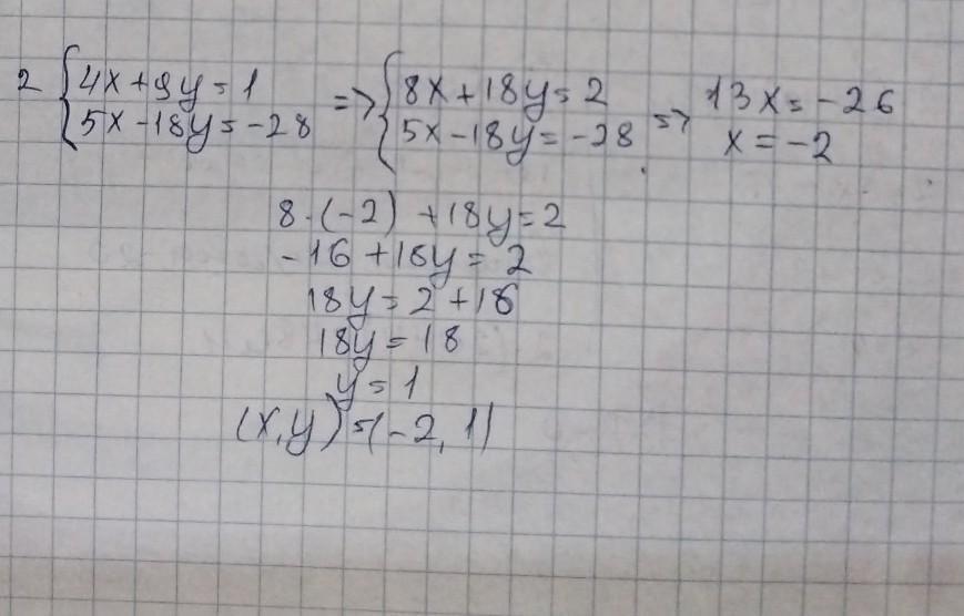
ответ дан на фотографии
Приложения:

Аноним:
пожалуйста решите у меня задание в профиле очень надо
Вас заинтересует
3 года назад
3 года назад
8 лет назад