• Предмет: Математика
  • Автор: blomfield
  • Вопрос задан 8 лет назад

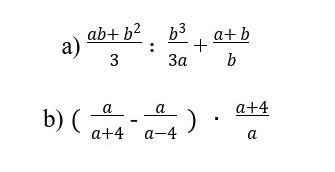
Упростите выражение:



ab+ b^2/3 ∶ b^3/3a + a+ b/b



a/a+4- a/a-4 ∙ a+4/a



Приложения:

graznyh08: Прошууу пжж
usp7airina: Вот держи.

Ответы

Ответ дал: usp7airina
9

Ответ:

Ответ на а и б на фото

Пошаговое объяснение:

Просто я тоже делала соч и пришлось сделать.

Приложения:

blomfield: та я уже давно сделала
Uyfzjfz: Спасибо спасибо большое
Вас заинтересует