Объясните, пожалуйста! Я не поняла тему.
На информатике объясняли, как раскодировать какое-либо слово в ASCII.
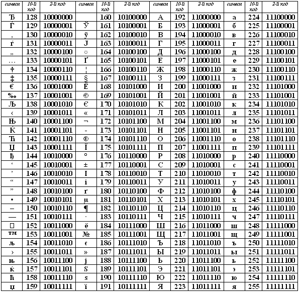
Так вот объясните, пожалуйста, как раскодировать 110100 1101000 11110000.
В классе решали, получилось слово "мир".
Но я не поняла, как оно получилось.
Ответы
Ответ дал:
0
Посмотри точно ли ты записал(а) цифры
каждая буква кодируется 8 цифрами из 0 и 1
каждая буква кодируется 8 цифрами из 0 и 1
Приложения:

Вас заинтересует
2 года назад
2 года назад
8 лет назад
8 лет назад
10 лет назад
10 лет назад
10 лет назад
10 лет назад