• Предмет: Алгебра
  • Автор: Крисстина
  • Вопрос задан 10 лет назад

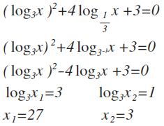
Помогите пожалуйста решить уравнение (см.вложения)

Приложения:

Ответы

Ответ дал: Аноним
0
РЕШЕНИЕ-ВО ВЛОЖЕНИИ                                         
Приложения:
Вас заинтересует