• Предмет: Математика
  • Автор: artemseremet39
  • Вопрос задан 8 лет назад

Помогите пожалуйста, дам 25 баллов

Приложения:

Ответы

Ответ дал: tahkbkapmahe
0

Ответ:

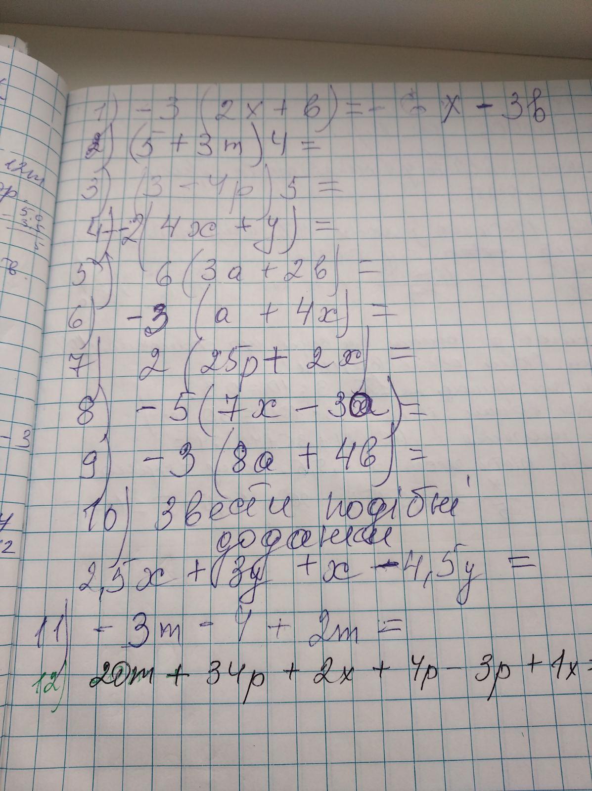
1. -6x - 3b

2. 20+12m

3. 15 - 20p

4. -8x - 2y

5. 18a + 12b

6. -3a - 12x

7. 50p + 4x

8. -35x + 15a

9. -24a - 12b

10. 3.5x - 1.5y

11. -m -4

12. 20m + 35p + 3x

Вас заинтересует