• Предмет: Алгебра
  • Автор: KPOPXWO
  • Вопрос задан 8 лет назад

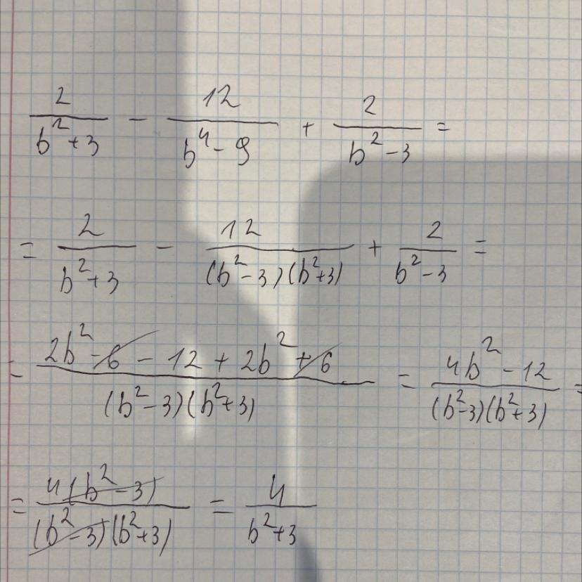
Преобразуйте в дробь выражение:


ответ дайте полный с решением,а не просто конечный ответ ​

Приложения:

Ответы

Ответ дал: semadilhesimova79
1

Ответ:

 \frac{4}{b {}^{2}  + 3 {}^{} }

Ответ дал: orakul96
3
Вот ответ
………………………..
Приложения:
Вас заинтересует