Ответы
Ответ дал:
0
вот, если не понятно пиши, разберемся
Приложения:

Ответ дал:
0
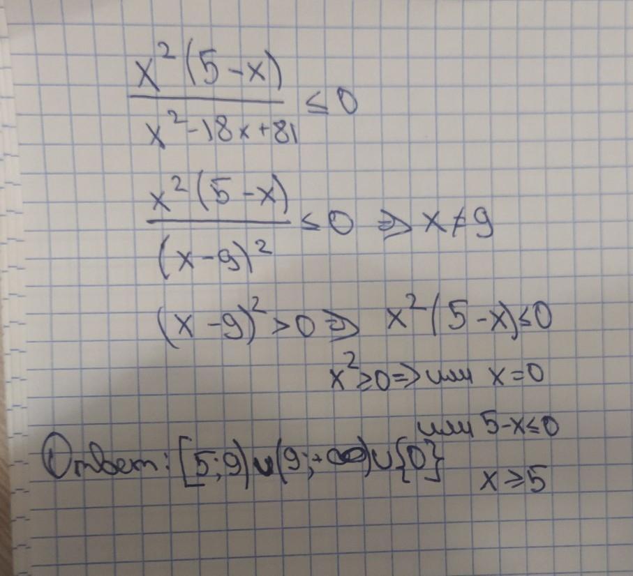
X^2(5-x)/x^2-18x+81=<0
X^2(5-x)/(x-9)^2=<0
(X-9)^2>0; x^2(5-x)=<0
X^2=> или x=0 или 5-x=<0; x>= 5
X^2(5-x)/(x-9)^2=<0
(X-9)^2>0; x^2(5-x)=<0
X^2=> или x=0 или 5-x=<0; x>= 5
derfhunovaann:
а как же если х=9?
Вас заинтересует
2 года назад
8 лет назад
8 лет назад
9 лет назад