• Предмет: Алгебра
  • Автор: MilanaStar167
  • Вопрос задан 8 лет назад

1. Упростите выражение: (y-4) (y+2) - (y-2)2 ( два находится в степени)
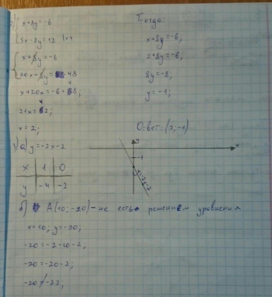
2. Решите систему уравнений: x + 8y = -6;
5x - 2y = 12.
3. а) Постройте график функций y = -2x -2
б) Определите, проходит ли график функций через точку A(10; -20)
Алгебра 7 класс.

Ответы

Ответ дал: sofiavakulovych
6

надеюсь помогла

буду очень благодарна если сделаете лутшим ответом ❤️

Приложения:

MilanaStar167: Спасибо большое!
sofiavakulovych: мне не в тягость
Вас заинтересует