Ответы
Ответ дал:
1
Ответ:
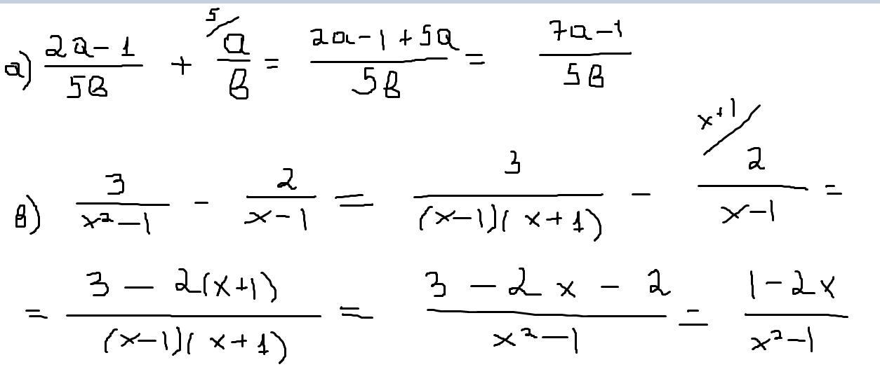
а) 2а-1+5a/5b = 7a-1/5b
b) 1-2x/x²-1
Ответ дал:
1
Ответы на решение, решил на пайнте
Приложения:

Вас заинтересует
8 лет назад
8 лет назад
9 лет назад
9 лет назад