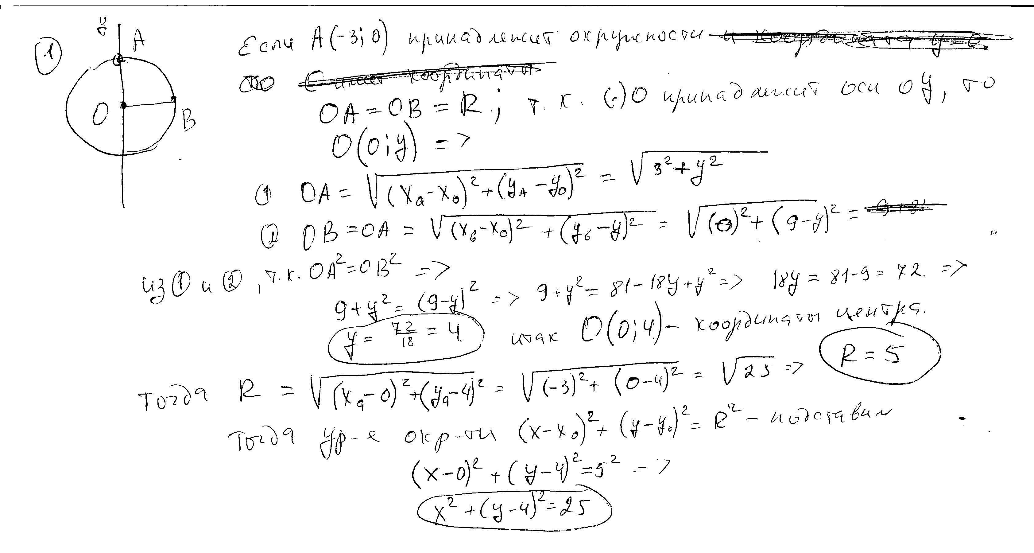
1.Скласти рівняння кола з центром на осі ординат,яке проходить через точки A(-3;0),B(0;9).
Вказати довжину радіуса кола
1)10
2)25
3)5
4)9
2.Основою прямої призми-рівно деревний трикутник з бічною стороною 5 см і висотою,побудованою до основи,-4 см.Діагональ бічної грані,що містить основу трикутника,дорівнює 10 см.Знайдіть об‘єм призми.
1)96 см^3
2)12 см^3
3)56 см^3
3.Прямокутний трикутник з катетом 8 см і площею 24 см^2 обертається навколо прямої,паралельної катету,що проходить через вершину більшого гострого кута трикутника.Тоді об‘єм обертання тіла...П см^3
-Только ответ
Ответы
Ответ дал:
2
Ответ:
второе задание даже с помощью переводчика не понял
Объяснение:
во вложенных файлах
Приложения:



Вас заинтересует
2 года назад
3 года назад
8 лет назад
8 лет назад
9 лет назад
9 лет назад
Если конечно Вас угодно можете решить