• Предмет: Алгебра
  • Автор: ns110376s
  • Вопрос задан 8 лет назад

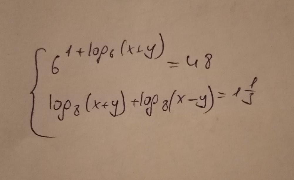
решите систему уравнений​

Приложения:

Ответы

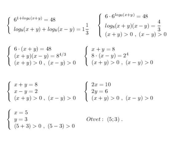
Ответ дал: NNNLLL54
1

Ответ:

\left\{\begin{array}{l}6^{1+log_6(x+y)}=48\\log_8(x+y)+log_8(x-y)=1\dfrac{1}{3}\end{array}\right\ \ \left\{\begin{array}{l}6\cdot 6^{log_6(x+y)}=48\\log_8(x+y)(x-y)=\dfrac{4}{3}\\(x+y)>0\ ,\ (x-y)>0\end{array}\right\\\\\\\left\{\begin{array}{l}6\cdot (x+y)=48\\(x+y)(x-y)=8^{4/3}\\(x+y)>0\ ,\ (x-y)>0\end{array}\right\ \ \left\{\begin{array}{l}x+y=8\\8\cdot (x-y)=2^4\\(x+y)>0\ ,\ (x-y)>0\end{array}\right

\left\{\begin{array}{l}x+y=8\\x-y=2\\(x+y)>0\ ,\ (x-y)>0\end{array}\right\ \ \left\{\begin{array}{l}2x=10\\2y=6\\(x+y)>0\ ,\ (x-y)>0\end{array}\right\\\\\\\left\{\begin{array}{l}x=5\\y=3\\(5+3)>0\ ,\ (5-3)>0\end{array}\right\ \ \ \ Otvet:\ (5;3)\ .

Приложения:
Вас заинтересует