• Предмет: Алгебра
  • Автор: KoToBoY
  • Вопрос задан 8 лет назад

МАКСИМУМ БАЛЛОВ! Срочно решите 2 задание!

Приложения:

Ответы

Ответ дал: Pomoghitenasiluyt
0

Объяснение:

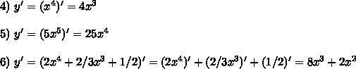
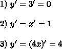
правильно только до 4

Приложения:
Вас заинтересует