• Предмет: Математика
  • Автор: bkmz08071999
  • Вопрос задан 8 лет назад

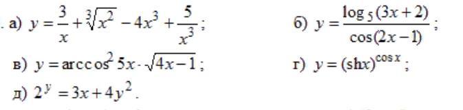
Найти dy/dx данных функций

Приложения:

Ответы

Ответ дал: Miroslava227
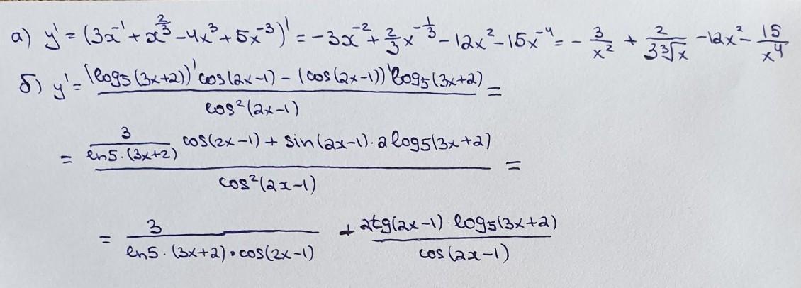
4

Ответ:

решение на фотографиях

Приложения:

chjgcv: Помогите пожалуйста
chjgcv: прошу
chjgcv: по геометрии
chjgcv: помогите
chjgcv: Умоляю помогите
chjgcv: помогите пожалуйста
Аноним: Здраствуйте, можете мне с геометрией тоже помочь? Пожалуйста. https://znanija.com/task/44841050
Вас заинтересует