ааааааа срочноооо
Задание 1
Камень подбросили с высоты двух метров от поверхности земли вверх на 7 метров. Затем он упал в колодец глубиной 10 метров. Изобразите траекторию движения согласно данным указаниям. Определите путь и перемещение камня.
Задание 2
Вдоль ступеньки движущегося эскалатора (поперёк направлению движения) туда и обратно бегает жук. Нарисуйте примерный вид траектории движения жука относительно земли.
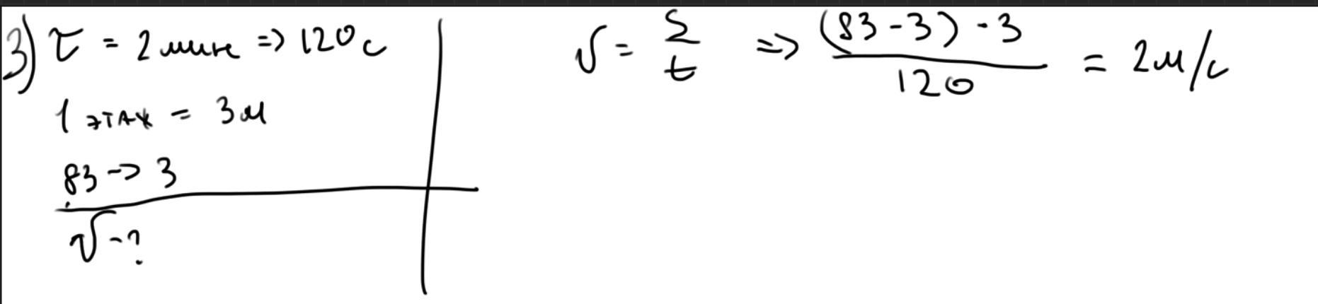
Задание 3
С какой скоростью должен двигаться лифт, чтобы переместиться с 83 этажа небоскреба на 3 этаж за 2 минуты? Расстояние между этажами 3 м, движение лифта считайте равномерным.
Задание 4
На рисунке приведены графики зависимости пути от времени для двух автомобилей, выехавших из одного посёлка по одной и той же дороге. Моментом начала движения считайте t=0 с. Определите скорости первого и второго автомобилей. Через сколько времени после выезда автомобили встретились? Какое расстояние было между автомобилями через 10 секунд после начала движения? Через сколько времени после выезда автомобиль II находился в той точке, из которой автомобиль I начал движение?
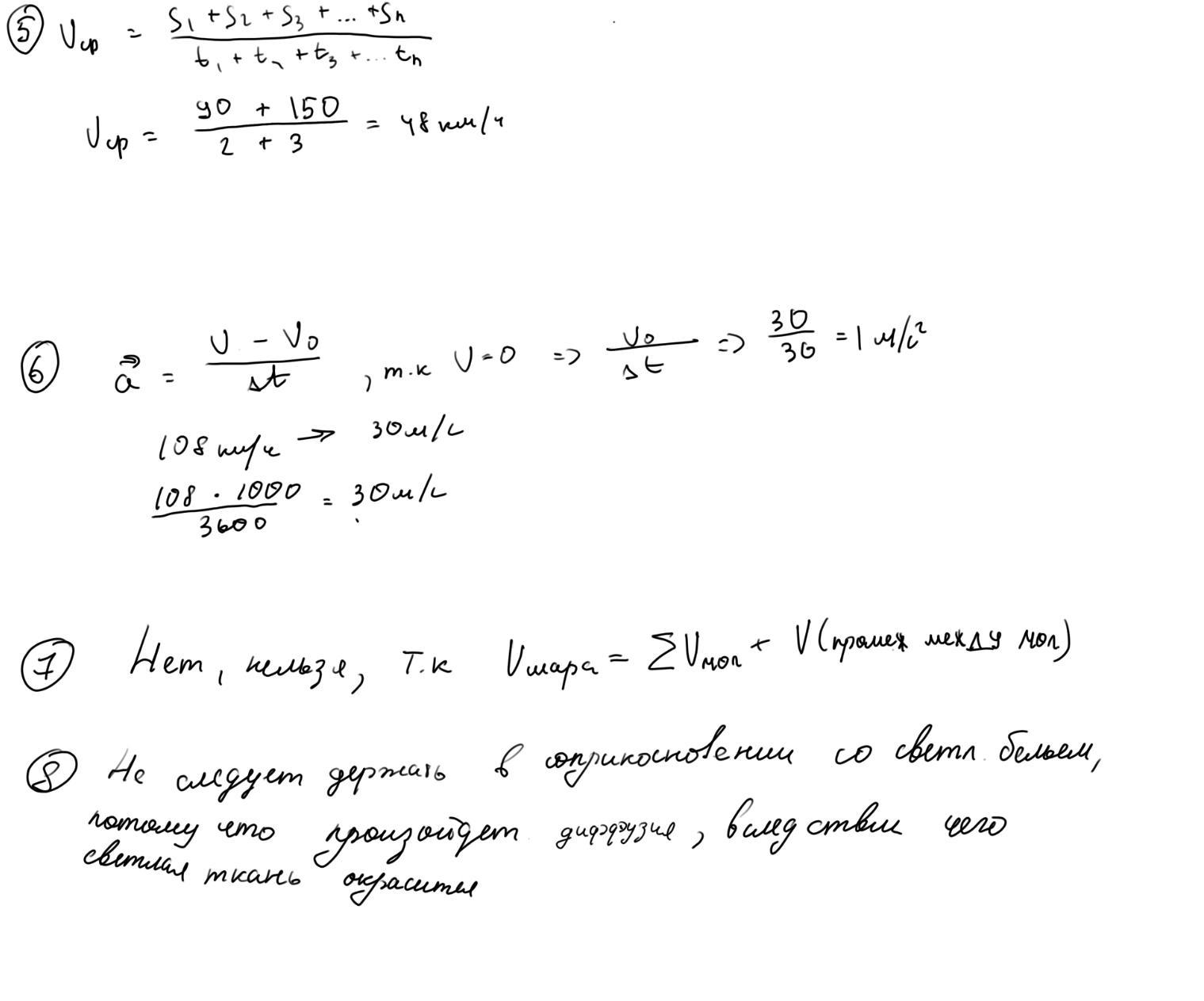
Задание 5
Мотоциклист проехал 90 км за 2 ч, а затем ехал со скоростью 50 км/ч в течение 3 ч. Какова его средняя скорость на всём пути?
Задание 6
Каково ускорение автомобиля, движущегося со скоростью 108 км/ч, если через 30 с он остановился?
Задание 7
Можно ли утверждать, что объем воздуха в воздушном шарике равен сумме объемов молекул, составляющих воздух? Ответ обоснуйте.
Задание 8
Почему ткань, окрашенную некачественной краской, нельзя в мокром состоянии держать в соприкосновении со светлым бельем? Как это объяснить с точки зрения физики?
Ответы
Ответ дал:
3
Ответ:
1-3. Дайте график к 4
Объяснение:
Приложения:




baza077:
сейчас, зрение ОГРОМНОЕ спасибо
Вас заинтересует
2 года назад
2 года назад
3 года назад
3 года назад
8 лет назад
9 лет назад