• Предмет: Алгебра
  • Автор: millieeee
  • Вопрос задан 8 лет назад

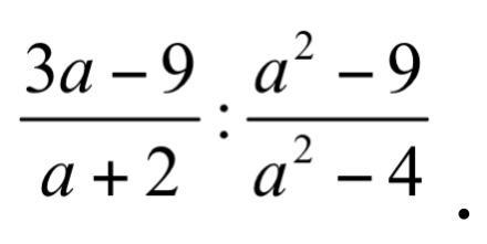
выполните действияяяяяяяяяяяяя

Приложения:

Ответы

Ответ дал: slavazenin7
1

Ответ:

3a-6/a+3

Объяснение:

sghsjsjsjsusuus

Вас заинтересует