Ответы
Ответ дал:
3
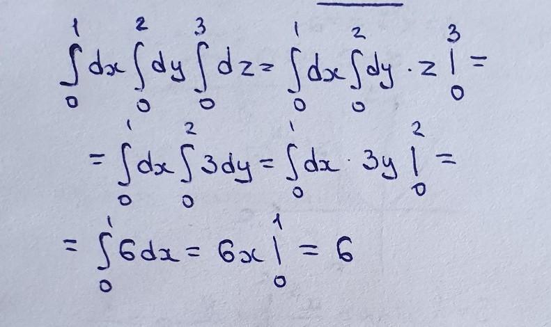
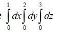
Ответ:
решение на фотографии.
Приложения:

Аноним:
спасибо
Вас заинтересует
2 года назад
2 года назад
3 года назад
8 лет назад
9 лет назад