• Предмет: Алгебра
  • Автор: kavasiavanlove
  • Вопрос задан 8 лет назад

задание на фото,алгебра​

Приложения:

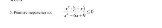
Ответы

Ответ дал: Universalka
2

\frac{x^{2}\cdot(1-x) }{x^{2}-6x+9 }\leq0\\\\\frac{x^{2}\cdot(x-1) }{(x-3)^{2} } \geq0\\\\x=0 \ ; \ x=1 \ ; x\neq 3

     -                -              +                 +

______[0]______[1]______(3)______

                              ///////////////  /////////////

Otvet:\boxed{x\in\{0\}\cup[1 \ ; \ 3)\cup(3 \ ; \ +\infty)}


kavasiavanlove: спасибо
kavasiavanlove: можете решить другой пример?У меня в профиле есть
Вас заинтересует