• Предмет: Алгебра
  • Автор: Asel060000
  • Вопрос задан 8 лет назад

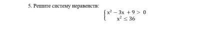
.решите пожалуйста людии​

Приложения:

Ответы

Ответ дал: sashkakotonov0
0

Ответ:

ответ и решение прикрепила ниже!

Объяснение:

Приложения:

Zombynella: Кажется, Вы не то задание сделали. Здесь система неравенств.
Вас заинтересует