• Предмет: Алгебра
  • Автор: Аноним
  • Вопрос задан 8 лет назад

Очень срочно!! Пожалуйста!!! Это 7 пост... Даю за отличный ответ с решением и ответом, 50 баллов!!

Приложения:

Ответы

Ответ дал: ilza12345
1

 \frac{7m {}^{2} - 3 }{5m}

Объяснение:

 \frac{h}{16k {}^{2} -  {h}^{2}  }

Ответ дал: serovaksusa1
0

Ответ:

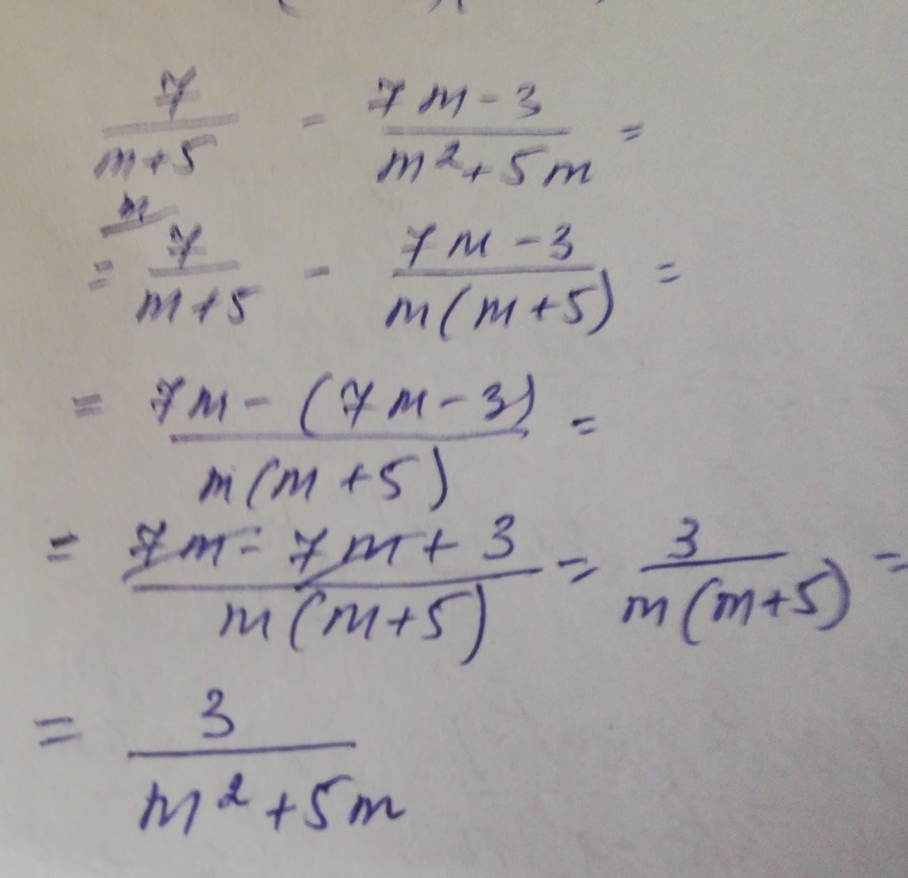
Смотри решение на фото

Приложения:

elizavetkjhvcvh: можно пожалуйста вас попросить решить задания ? в вопросах он будет добавлен самый последний
Вас заинтересует