Ответы
Ответ дал:
0
Ответ:
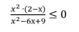
решение на фотографии.
Приложения:

khfh18:
извините за беспокойство сможете пожалуйста помочь решить? Составить каноническое и параметрическое уравнение прямой проходящей через точки М1 (-3,2,5), М2 (4,-1,-6)
Вас заинтересует
3 года назад
8 лет назад
9 лет назад