• Предмет: Алгебра
  • Автор: danygpanb
  • Вопрос задан 8 лет назад

помогите пожалуйста
дам 30 баллов

Приложения:

Ответы

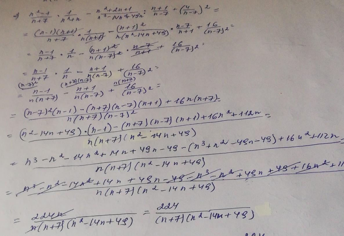
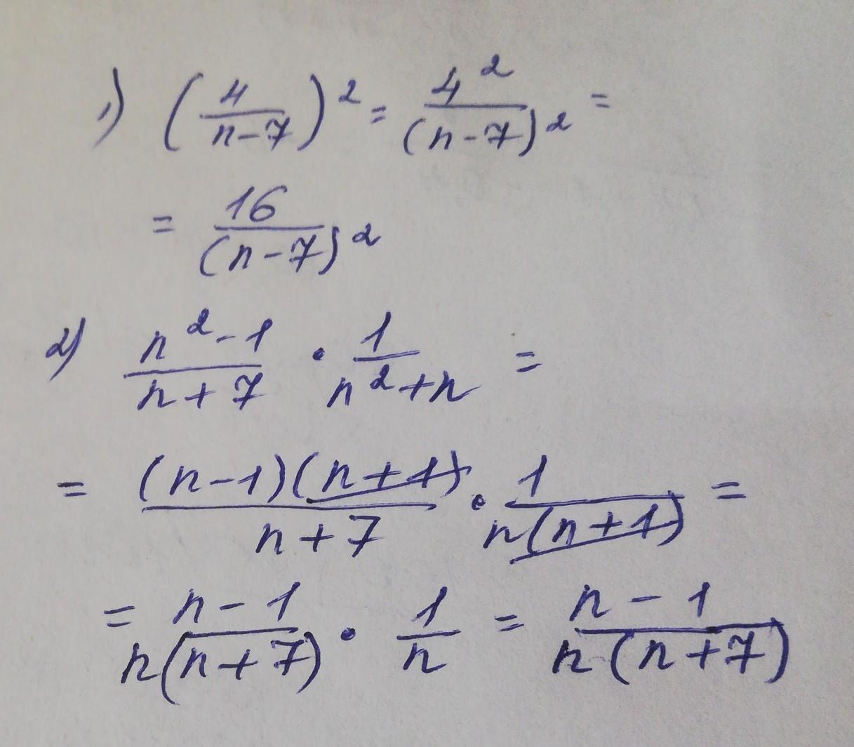
Ответ дал: serovaksusa1
1

Ответ:

Смотри решение на фото

Приложения:

serovaksusa1: Посмотрите все подошло, особенно самый большой пример?
Вас заинтересует