• Предмет: Алгебра
  • Автор: nikitavlasov202020
  • Вопрос задан 8 лет назад

ДАЮ 10 БАЛОВ

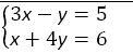
Розв’яжіть систему рівнянь:

Приложения:

Ответы

Ответ дал: qwwwo
0

Ответ:(x,y)=(2,1)

Объяснение:

Вас заинтересует