• Предмет: Математика
  • Автор: sofiamulenkova368
  • Вопрос задан 8 лет назад

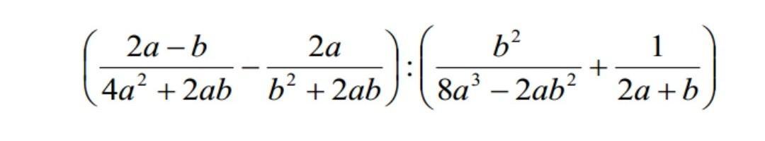
упростите выражение (2а-б):(b2+1) 4a2+2ab:8a3-2ab 2a+b ​

Приложения:

Ответы

Ответ дал: serovaksusa1
2

Ответ:

Смотри решение на фото

Приложения:
Вас заинтересует