• Предмет: Математика
  • Автор: yakimma2007
  • Вопрос задан 8 лет назад

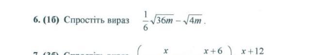
спростіть вираз 1/6 √36m - √4m​

Приложения:

Ответы

Ответ дал: godick
4

Ответ:

-v m (минус корень m)

Пошаговое объяснение:

1/6*6vm-2vm=vm-2vm=-vm

v-это корень

Вас заинтересует