• Предмет: Алгебра
  • Автор: Potc555
  • Вопрос задан 8 лет назад

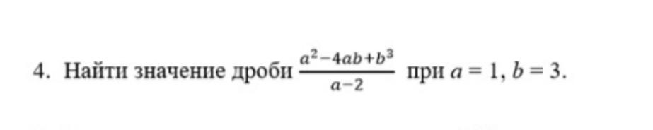
Алгебраические дроби

Приложения:

Potc555: Помогите пожалуйста!

Ответы

Ответ дал: iskahamm007
1

Ответ:

-16

Объяснение:

Все довольно легко, просто надо подставить все

(1)^2 - 4×1×3+(3)^3 1-12+27 16

______________ = ________ = _______ = - 16

1-2 - 1 - 1

Вас заинтересует