• Предмет: Алгебра
  • Автор: Аноним
  • Вопрос задан 8 лет назад

СРОЧНО!!!! 40 баллов!!!
помогите с системами неравенств!!!! (4 и 6 задания!!)​​
НЕ МОЖЕТЕ ОТВЕТИТЬ НЕ ОТВЕЧАЙТЕ!!! НЕ ЗАСОРЯЙТЕ ОТВЕТЫ!!! Я 3 ГРЕБАНЫЙ РАЗ ПОЩУ ЭТОТ ВОПРОС!!!!​

Приложения:

Аноним: я залупа
Аноним: согласен
Аноним: ты залупа
Аноним: у тебя мама негр
Аноним: а у тебя она мертва
Аноним: от спида сдохла
Аноним: да я ее еще изнасиловал
Аноним: и заразился
Аноним: ииииии
Аноним: я хуилааа

Ответы

Ответ дал: ctvty98
0

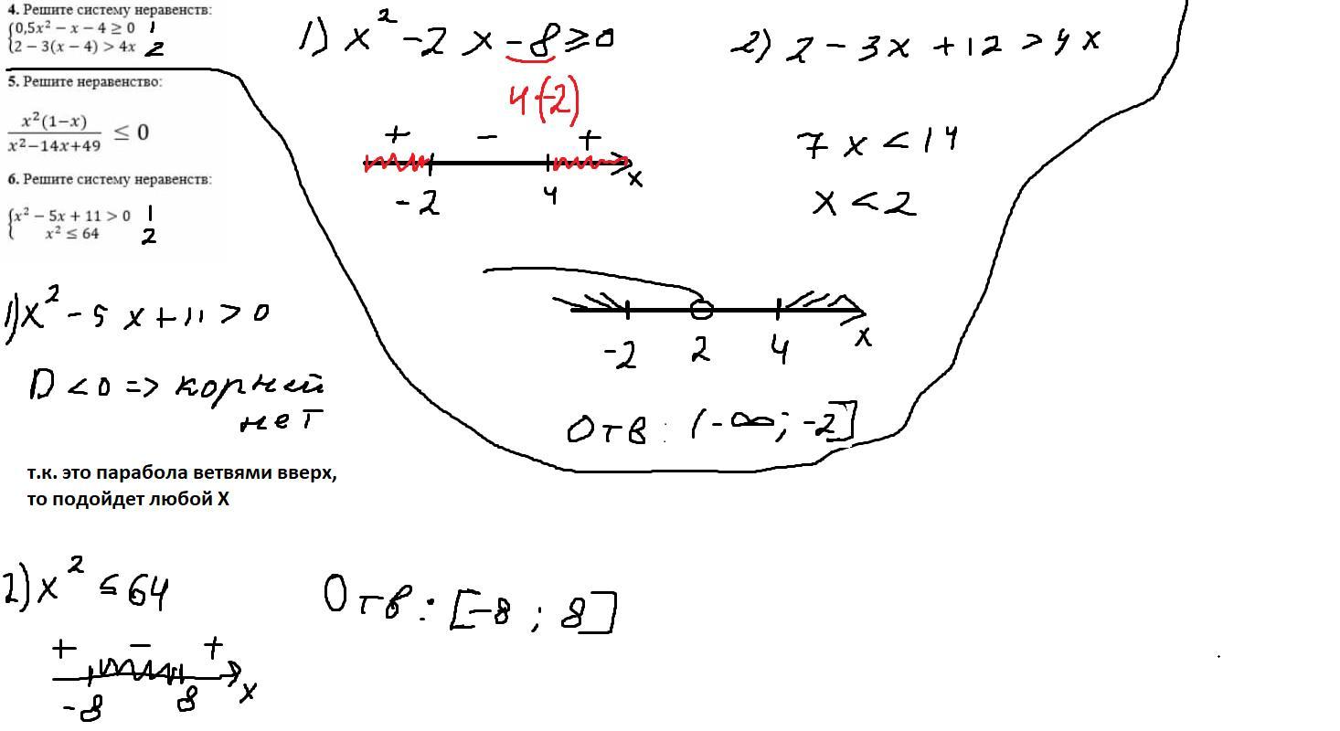
Ответ: (-00; -2] [-8; 8]

Объяснение:

все расписано на рисунке, будут вопросы - пиши, отвечу

Приложения:

Аноним: фууух... спасибо
Аноним: по геометрии сможешь помочь? тоже соч
ctvty98: да
Аноним: спасибо) щас тогда, что смогу сделаю и выставлю остальное
Аноним: задаю... та последнее 5-е задание
Аноним: там*
Аноним: спросил
Вас заинтересует